吕冰洋:中国政府预算偏离
核心提示:政府决算和预算的差异可以称之为预算偏离,过高的预算偏离程度不仅直接关系到预算管理的水平和财政活动的绩效,还会对经济社会产生冲击。本文利用1994-2017年中国公共预算的预算和决算数据,全面分析和归纳了中国政府预算偏离的典型特征。文章发现,中国政府预算偏离长期处于较高水平;全国和地方层面的预算偏离呈现出截然不同的特征;不同财政收支项目的预算偏离程度存在极大差异;预算偏离在不同省份和地区的表现也不尽相同;预算偏离的影响因素主要包括预算管理本身、财政管理体制、外部监督等。为降低预算偏离,应构建全面规范的预算体系,形成收支相匹配的财政管理格局,营造公开透明的预算环境。
为什么要关注预算偏离?
政府预算对国家治理的影响巨大,它一方面反映着政府活动的范围、方向和政策,另一方面也体现着国家权力机构和人民对政府活动的监督(陈共,2015)。中国自1994年分税制改革后,政府预算制度历经了数次修补,以期建立全面科学的预算体系。但是目前政府预算管理依然存在许多问题。在2014年《国务院关于深化预算管理制度改革的决定》中,将这些问题归结为:预算管理和控制方式不够科学、预算体系不够完善、预算约束力不够、财政结转结余资金规模较大、预算透明度不够,等等。
政府预算管理的这些问题,归根结底表现在政府的收支预算与决算行为上。根据《中华人民共和国预算法(2014年修正)》(以下简称新《预算法》)的规定,预算收入征收部门和单位“必须依照法律、行政法规的规定,及时、足额征收应征的预算收入”,并“不得违反法律、行政法规规定,多征、提前征收或者减征、免征、缓征应征的预算收入”;此外,各级政府财政部门还必须“及时、足额地拨付预算支出资金,加强对预算支出的管理和监督”。可见,科学、规范、透明的预算制度,其表现之一便是政府的预算执行应与预算编制的情况大体保持一致,不应出现大额的超收超支或者短收少支的情况。

不过,分税制以来,中国政府预决算之间的差别呈持续扩大趋势(王秀芝,2009;孙玉栋、吴哲方,2012),这种差别我们称之为预算偏离,它指的是“在经立法机关审查批准的政府预算收支同作为其实际执行结果的政府决算收支之间出现了差异”(高培勇,2008)。从全国层面看,1994年以来,在大部分年份中国政府的预算偏离都在5%以上,一些年份甚至超过了10%(具体见本文第三部分)。而作为最早确立现代政府预算的国家,英国2001-2003年公共部门经常性收入预算偏离的平均幅度为-2.8%(王秀芝,2009);美国2003-2007年财政预算支出的偏离度平均仅为2.1%(崔振东,2009)。相比较,中国政府的预算偏离程度远大于英美等国家。
预算本身是一种收支计划,应该允许决算数与预算数存在一定差距,而且在预算编制的过程中,就特意会留有一定的余地。但是如果差距过大,就会带来一系列的问题,譬如,过多的超收收入会加重微观经济主体的实际税负,从而降低微观经济主体面临的经济激励,在当前背景下也不利于推进供给侧结构性改革;再如,如果实际支出过少,政府提供的公共物品可能不足,尤其是基础设施领域的投资不足会不利于资源的有效配置;等等。“作为一个令人警醒的结果,预决算偏离度的持续扩大,不仅使得政府预算的监督制约作用在某种程度上走了过场,形同虚设,而且也使得预算法治一再受到挑战,甚至处于极度尴尬之中”(高培勇,2008)。如果预算偏离过大的状况一直持续下去,政府预算的编制就失去了其科学性和权威性,现代预算制度进而现代财政制度的建立就受到了挑战,从而会在很大程度上影响财政对国家经济调节的效果。因而,全面认识政府预算偏离的现状和特征,对于建立现代预算制度和现代财政制度,提高政府财政管理活动的绩效乃至推进国家治理的现代化都具有重要的意义。
预算偏离的整体状况
(一)数据来源
我们使用的主要数据是1994-2017年一般公共预算的预算和决算数据。全国层面和全省层面预决算的数据主要来自历年《中国财政年鉴》。省本级和市县层面的数据则来自历年各省(自治区、直辖市)财政厅在本级人民代表大会的预决算报告。在进行具体分析时,我们剔除了西藏的数据。
为观察预算偏离的结构状况,我们在全省层面分析了不同收入和支出项目的偏离。具体而言,收入主要分为增值税、营业税、企业所得税、非税收入和其它收入,限于数据,其序列只到2016年;由于2007年进行了政府收支分类改革,对支出分类做了大幅调整,为了保证口径的连贯性和可比性,本文分两个时间段对政府支出分类进行讨论,一是1994-2006年,支出主要分为行政管理、基本建设、教育、科技、社会保障和其它六类;二是2007-2016年,支出分为一般公共服务、城乡社区事务、农林水事务、教育、科学技术、社会保障和就业以及其它七类。
(二)预算偏离的整体状况
1.全国层面
表1和图1给出了1994-2017年中国国家公共预决算偏离的情况。
表1 1994-2017年中国国家公共预算的预算偏离情况(亿元;%)
年份 | 预算收入 | 超收规模 | 收入偏离度 | 预算支出 | 超支规模 | 支出偏离度 |
1994 | 4759.95 | 458.15 | 9.63 | 5429.14 | 363.48 | 6.69 |
1997 | 8397.94 | 253.20 | 3.02 | 8967.94 | 265.62 | 2.96 |
2000 | 12337.77 | 1057.46 | 8.57 | 14637.00 | 1249.50 | 8.54 |
2003 | 20501.32 | 1213.93 | 5.92 | 23699.00 | 950.95 | 4.01 |
2006 | 35423.38 | 3336.82 | 9.42 | 38373.38 | 2049.35 | 5.34 |
2009 | 66230.00 | 2288.30 | 3.46 | 76235.00 | 64.93 | 0.09 |
2011 | 89720.00 | 14154.43 | 15.78 | 100220.00 | 9027.79 | 9.01 |
2012 | 113600.00 | 3653.52 | 3.22 | 124300.00 | 1652.97 | 1.33 |
2013 | 126630.00 | 2579.64 | 2.04 | 138246.00 | 1966.10 | 1.42 |
2014 | 139530.00 | 840.03 | 0.60 | 153037.00 | -1251.44 | -0.82 |
2015 | 154300.00 | -2030.77 | -1.32 | 171500.00 | 4377.77 | 2.55 |
2016 | 157200.00 | 2404.97 | 1.53 | 180715.00 | 7040.21 | 3.90 |
2017 | 168686.77 | 3879.80 | 2.30 | 194947.30 | 8382.73 | 4.30 |
平均值 | 2625.41 | 6.64 | 2286.73 | 4.89 |
注:限于篇幅,表中未给出所有年份的数据,下同。
总体而言,全国预算偏离表现为大幅“超收”和“超支”,(2014年为“短收”,2015年为“少支”)。从绝对数看,超收和超支规模最大的一年均在2011年,分别达到了14154.43亿元和9027.79亿元。从相对数看,收入预算偏离常年在5%以上,并在许多年份超过了10%,其中在2007年高达16.47%;支出预算偏离在大部分年份中也都超过了5%,最高的2011年为9.01%。此外,收支预算偏离的变化趋势基本一致,二者的相关系数高达0.76,不过收入预算偏离度要远大于支出预算偏离度。

图1 1994-2017年中国国家公共预算的预算偏离度(%)
从时间态势来看,自分税制改革到1998年,预算偏离程度不断下降;1998年实施积极的财政政策以后,预算偏离趋于上升,并在2007年达到一个高点(其中在2002年和2005年有较为明显的下降);2008年受金融危机的影响,预算偏离大幅下降,然而在经济刺激计划之后,又迅速上升,并在2011年达到另一个高点;随着中国经济进入新常态,预算偏离从2012年开始大幅下降,其中收入在2015年出现了短收,支出则在2014年出现了少支。尽管在新常态的背景下经济增速开始换挡,并且伴随结构性减税的政策调整,但是超收规模并没有一直下降,而有力度和更加积极的财政政策的实施,则带来了超支规模的进一步扩大,因此,2015年之后,“超收”和“超支”又趋于上升。从时间趋势的变化可以看出,中国政府预算偏离的变化一定程度上与经济形势和经济政策的改变相关。
2. 全省层面
(1)总体情况
表2和图2是各省预算偏离的描述性统计和时间态势。
表2 全省层面预算偏离的描述性统计
样本 | 观察值 | 均值 | 标准差 | 最小值 | 最大值 |
收入预算偏离 | |||||
全部省份 | 720 | 7.80 | 8.10 | -26.20 | 58.82 |
东部地区 | 240 | 6.39 | 7.35 | -18.60 | 58.82 |
中部地区 | 144 | 7.77 | 8.19 | -9.78 | 42.46 |
西部地区 | 264 | 9.07 | 8.19 | -17.19 | 56.72 |
东北地区 | 72 | 7.96 | 9.31 | -26.20 | 31.56 |
支出预算偏离 | |||||
全省省份 | 720 | -8.95 | 9.67 | -28.14 | 58.37 |
东部地区 | 240 | -8.00 | 10.05 | -26.72 | 58.37 |
中部地区 | 144 | -9.48 | 10.01 | -27.49 | 35.89 |
西部地区 | 264 | -8.87 | 9.22 | -28.14 | 44.34 |
东北地区 | 72 | -11.40 | 8.96 | -18.62 | 47.23 |
可见:(1)在全省层面,收入的决算大于预算,存在“超收”现象,平均超收7.80%;相反,支出的决算小于预算,存在“少支”现象,少支比例为8.95%。这与全国层面的“超收”、“超支”截然不同。一个可能的原因是地方政府的支出极大程度上依赖于中央政府的补助,而转移支付的公共池效应会使得地方政府在预算时会倾向于尽可能多地争取中央补助,在支出执行的过程中,有些争取到的钱花不出去,还有些转移支付的资金并未及时到位,这最终导致了“少支”。(2)从偏离的大小看,不论是收入还是支出,全省层面的预算偏离程度都高于全国层面,并且全省层面支出预算的偏离程度要大于收入预算的偏离。

图2 1994-2017年各省预算偏离平均值的变化(%)
注:revenuedv表示收入的预算偏离,expdv表示支出的预算偏离,由于1994年支出预算偏离的平均值为数值很大的正数,为了便于观察图形的态势,支出预算偏离未包含1994年的数值。
(2)地区差异
首先观察省际间的差异。表3给出了1994-2017年各省收支预算偏离的变化,可以发现:(1)平均而言,经济发展水平相对落后的宁夏、陕西等西部省份的收入预算偏离较大,而东部的广东、福建等省份的收入预算偏离较小;但也有例外,譬如西部的贵州,中部的湖北等省份的收入预算偏离也较小。(2)与收入预算偏离不同,许多东部省份(浙江、福建、广东)的支出预算偏离并不小,支出预算偏离在各省份之间的差异也较大。(3)全省层面,收入预算偏离和支出预算偏离之间并没有紧密的联系,收入预算偏离较大的省份可能支出预算偏离较小。(4)就各年的偏离来看,各省收支预算偏离的年度变化较大,大部分省份在绝大多数年份里的收入预算偏离都在5%以上,支出预算偏离则在-8%以上。各省收支预算偏离最大的时间段主要集中在2001-2011年之间。进入经济新常态之后,部分省份在某些年份收入出现了负向偏离,而支出则出现了正向偏离,但总体上各省“超收”和“少支”的现象依然普遍存在,尤其是2015年之后,其基本趋势并没有出现根本性的逆转。
表3 1994-2017年各省收支预算偏离的变化(%)
收入预算偏离 | 支出预算偏离 | |||||||||
省份 | 1995 | 2005 | 2012 | 2017 | 平均 | 1995 | 2005 | 2012 | 2017 | 平均 |
安徽 | 10.93 | 14.92 | 9.91 | 1.26 | 9.81 | -13.03 | -11.72 | -2.67 | 7.91 | -5.49 |
北京 | 9.71 | 9.23 | 0.48 | 0.40 | 6.87 | -0.23 | -5.74 | -12.23 | 0.00 | -4.38 |
福建 | 16.93 | 2.34 | 3.26 | 0.80 | 5.11 | -15.93 | -14.86 | -17.45 | -3.29 | -12.59 |
甘肃 | 1.16 | 11.20 | 6.29 | -0.54 | 8.23 | -14.39 | -15.26 | -4.55 | -1.27 | -9.89 |
广东 | 0.41 | 2.92 | 0.00 | 4.70 | 3.43 | -8.77 | -15.37 | -20.05 | 9.00 | -11.11 |
广西 | 9.65 | 9.32 | 6.20 | 4.08 | 7.36 | -10.34 | -12.83 | -7.24 | 13.47 | -8.21 |
贵州 | 4.92 | 6.38 | 6.11 | 0.30 | 5.85 | -4.62 | -2.70 | -5.32 | -2.53 | -3.63 |
海南 | 6.61 | 4.66 | 0.33 | 3.30 | 4.13 | -7.16 | -14.64 | -4.73 | 1.10 | -9.00 |
河北 | 15.08 | 0.76 | 3.49 | 6.00 | 5.68 | -9.81 | -9.09 | -7.04 | -3.12 | -6.22 |
河南 | 16.86 | 21.99 | 4.86 | 2.80 | 9.47 | -6.64 | -5.15 | -2.63 | -2.30 | -3.44 |
黑龙江 | 13.14 | 27.81 | 0.57 | 7.75 | 11.27 | -18.28 | -15.69 | -12.95 | -1.69 | -10.90 |
湖北 | 18.26 | 0.00 | 2.23 | -3.03 | 3.76 | -8.08 | -10.13 | -20.25 | -2.40 | -8.38 |
湖南 | 15.87 | 9.64 | 5.80 | -3.79 | 6.82 | -8.26 | -12.17 | -13.27 | -6.36 | -8.66 |
吉林 | 10.21 | 15.13 | 5.59 | 0.95 | 6.24 | -15.51 | -13.67 | -9.32 | -5.88 | -10.49 |
江苏 | 13.36 | 5.31 | -0.01 | -0.35 | 7.52 | -15.03 | -9.48 | -9.11 | -13.28 | -8.69 |
江西 | 7.06 | 9.66 | 8.93 | 4.13 | 6.88 | -20.12 | -25.59 | -17.62 | -6.16 | -20.13 |
辽宁 | 11.09 | 16.42 | 1.38 | 3.50 | 6.35 | -18.48 | -12.73 | -13.47 | -3.15 | -12.79 |
内蒙古 | 8.60 | 23.27 | 1.59 | -17.19 | 9.81 | -7.76 | -12.13 | -9.57 | -8.20 | -9.18 |
宁夏 | 12.25 | 22.61 | 6.26 | 2.30 | 13.75 | -20.28 | -25.51 | -8.93 | -3.44 | -15.71 |
青海 | 13.16 | 14.33 | 5.67 | 1.30 | 7.99 | -10.28 | -23.83 | -4.37 | -1.30 | -10.08 |
山东 | 21.36 | 8.11 | 1.82 | 0.70 | 5.57 | -13.79 | -11.25 | -10.14 | 2.20 | -8.04 |
山西 | 7.20 | 20.31 | 9.94 | 19.01 | 9.86 | -13.72 | -9.30 | -14.43 | -4.52 | -10.76 |
陕西 | 16.59 | 18.96 | 12.23 | 7.29 | 12.22 | -6.74 | -18.07 | -7.93 | -3.63 | -7.23 |
上海 | 3.37 | 12.55 | 0.16 | 2.60 | 8.49 | 8.34 | -1.08 | -1.47 | -0.09 | 2.69 |
四川 | 8.45 | 15.24 | 4.98 | 7.00 | 9.49 | -10.44 | -8.65 | -11.30 | -4.80 | -9.34 |
天津 | 11.27 | 17.29 | 5.20 | -18.60 | 7.49 | -9.43 | -11.53 | -6.79 | -11.00 | -6.87 |
新疆 | 23.29 | 10.40 | 4.74 | 7.40 | 9.03 | -9.91 | -6.78 | -3.44 | -0.30 | -5.38 |
云南 | 19.18 | 3.37 | 2.93 | 2.10 | 6.16 | -5.31 | -4.74 | -4.36 | 10.50 | -3.33 |
浙江 | 7.83 | 5.40 | 0.62 | 14.51 | 9.65 | -20.22 | -20.39 | -20.95 | 7.00 | -15.76 |
重庆 | 12.34 | 14.19 | 3.59 | -4.13 | 9.83 | -18.61 | -17.02 | -13.85 | -2.71 | -15.56 |
注:平均值计算的是各省所有年份的平均值。
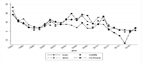
然后分析区域差异。我们将各省分成东部、中部、西部以及东北四个区域,其结果见表2和图3、图4。

图3 分地区1994-2017年收入预算偏离平均值的变化
注:east、middle、west、northeast分别表示东部、中部、西部和东北地区,下同。

图4 分地区1994-2017年支出预算偏离平均值的变化
从时间趋势看,与省份的结果一致,所有地区的收入预算偏离都呈现出先降低后增加再降低而后缓慢上升的态势,其中,东北地区在2015年出现了较大幅度的负向偏离;支出预算偏离方面,各地区自2007年之后开始缓慢降低,这可能是支出分类改革带来的效果。
从地区差异看,收入预算偏离方面,在大部分时间段上,东部地区的偏离最小,其次是中部地区和东北地区,最后是西部地区;支出预算偏离方面,东部地区最小,东北地区最大,但是在2010年以后,西部地区的支出预算偏离最小。总体而言,东部地区的收支预算偏离程度要小于其它地区。
3. 省本级和市县层面
进一步地,可以将全省层面的预算偏离分成省本级和市县两个层面,表4给出了这两个层面的描述性统计结果。
表4省本级和市县层面预算偏离的描述性统计
观察值 | 均值 | 标准差 | 最小值 | 最大值 | ||
省本级 | 收入预算偏离 | 621 | 10.98 | 15.31 | -67.50 | 95.54 |
支出预算偏离 | 524 | -4.15 | 14.63 | -36.29 | 59.75 | |
市县 | 收入预算偏离 | 621 | 6.45 | 9.18 | -64.45 | 63.32 |
支出预算偏离 | 524 | -10.31 | 11.83 | -44.24 | 87.28 |
可见,无论是省本级还是市县层面,预算偏离总体表现为“超收”和“少支”并存。不同的是,省本级收入预算偏离的程度要大于市县层面,但支出预算偏离的程度则要小于市县层面,这主要是由于在省本级存在比较多“超支”的情形,导致支出预算偏离的平均值比较小。

图5 1994-2017省本级和市县层面收入预算偏离的平均值(%)
图5和图6则给出了两个层面收支预算偏离在不同省份之间的差异。从图中可以看出:市县层面的收入预算偏离程度总体上要小于省本级层面;市县层面的支出预算偏离为负,但一部分省份省本级的支出预算偏离为正,这一定程度上说明地方支出预算偏离表现为“少支”更主要是由市县层面导致的。

图6 1994-2017省本级和市县层面支出预算偏离的平均值(%)
那么,全省的预算偏离多大程度上是由省本级层面和市县层面引起的?尽管从数值上看,省本级的收入预算偏离会大于市县层面的收入预算偏离,但这并不意味这省本级对全省收入预算偏离的贡献大,原因在于省本级对全省预算偏离的贡献还取决于其占全省收入的比重。
表5和6分别给出了收入预算偏离和支出预算偏离在省本级和市县层面的分解情况。
表5全省收入预算偏离在省本级和市县层面的分解情况(%)
层面 | 全省 | 省本级 | 市县 | ||||
年份 | 偏离 | 占比 | 偏离 | 相对贡献 | 占比 | 偏离 | 相对贡献 |
2000 | 6.91 | 22.37 | 12.01 | 38.90 | 77.63 | 5.44 | 61.10 |
2003 | 7.83 | 25.30 | 9.34 | 30.16 | 74.70 | 7.32 | 69.84 |
2008 | 5.81 | 25.19 | 7.53 | 32.64 | 74.81 | 5.23 | 67.36 |
2010 | 9.73 | 21.33 | 12.10 | 26.53 | 78.67 | 9.08 | 73.47 |
2012 | 2.89 | 20.67 | 4.75 | 34.00 | 79.33 | 2.40 | 66.00 |
2014 | 1.11 | 19.27 | 4.57 | 79.38 | 80.73 | 0.28 | 20.62 |
2017 | 1.98 | 20.27 | 6.47 | 66.37 | 79.73 | 0.83 | 33.63 |
均值 | 6.22 | 22.74 | 9.39 | 50.52 | 77.26 | 5.31 | 49.48 |
注:本表先取每一年各省(省本级、市县)预算收入和决算收入的平均值之后再进行计算,这导致本表计算出的预算偏离度与前文稍有不同,前文是直接取各省(省本级、市县)预算偏离的平均作为该年预算偏离的数值。
表6全省支出预算偏离在省本级和市县层面的分解情况(%)
层面 | 全省 | 省本级 | 市县 | ||||
年份 | 偏离 | 占比 | 偏离 | 相对贡献 | 占比 | 偏离 | 相对贡献 |
2000 | -11.26 | 27.09 | -2.19 | 5.28 | 72.91 | -14.62 | 94.72 |
2003 | -10.35 | 25.33 | -3.06 | 7.49 | 74.67 | -12.82 | 92.51 |
2008 | -11.78 | 23.38 | -8.90 | 17.66 | 76.62 | -12.66 | 82.34 |
2010 | -10.92 | 21.94 | -10.63 | 21.37 | 78.06 | -11.00 | 78.63 |
2012 | -10.94 | 21.08 | -10.10 | 19.45 | 78.92 | -11.17 | 80.55 |
2014 | -8.52 | 20.48 | -10.68 | 25.66 | 79.52 | -7.96 | 74.34 |
2017 | -1.20 | 17.30 | -5.31 | 76.43 | 82.70 | -0.34 | 23.57 |
均值 | -9.94 | 22.60 | -6.67 | 18.78 | 77.40 | -11.09 | 81.22 |
表5和表6表明,尽管省本级的收入预算偏离程度要大于市县,但由于市县政府的预算收入占全省预算收入的比重达到了77.26%,因而全省预算偏离主要是由市县层面贡献的,在2014年之前相对贡献率平均为67.73%,不过2014年之后,省本级逐渐对全省预算偏离的贡献占主导地位。此外,市县政府支出预算偏离的程度(平均是11.09%)高于省本级政府(平均6.67%),同时市县政府预算支出的占比也远高于省本级,这最终使得全省层面的支出预算偏离主要是由市县层面导致的(贡献率达81.22%);同时,市县层面对全省支出预算偏离的贡献率总体表现出下降的态势,由2000年的94.72%下降到2017年的23.57%。
预算偏离的结构状况
本部分对预算偏离的结构状况进行介绍。限于数据,本部分的分析在全省层面进行。
(一)总体情况
表7给出了不同收入和支出项目预算偏离的描述性统计。
收入预算偏离中,非税收入的偏离最大,均值为26.17%,其次是其它收入,为15.46%,剔除营改增的影响,增值税的偏离最小。非税收入的偏离最大可能是由于非税收入的管理不严格,地方政府征收的自由度较大造成的,而增值税的偏离最小则是可能是由于其严格的制度管理。支出预算偏离中,1994-2006年间,基本建设支出的偏离最大,平均为-17.52%,行政管理支出的偏离最小,为-2.22%。由于基本建设往往需要大量的资金,并且在较大程度上依赖于中央的专项补助(例如,专项转移支付的第一项便是基本建设支出),从前文的分析可知,这很可能导致基本建设支出存在较大程度的“少支”现象;行政管理支出则往往采用定员定额的方式编制预算,因而决算和预算出现的差异也会较小。2007-2016年间,其它支出的偏离最大,为-14.17,其次是农林水事务支出;教育支出和一般公共服务支出的偏离较小;而城乡社区事务、科学技术、社会保障和就业支出的偏离相差不大,在-6%左右。总体来看,与总支出预算偏离的趋势一致,2007之后,各分项支出的偏离程度与2007年之前相比有所降低。
表7不同收入和支出预算偏离的情况(%)
分项收入和支出 | 观察值 | 均值 | 标准差 | 最小值 | 最大值 |
vatdv增值税 | 690 | 3.19 | 12.95 | -50.38 | 95.11 |
salesdv营业税 | 690 | 3.06 | 12.67 | -55.23 | 121.58 |
corporatedv企业所得税 | 690 | 8.52 | 18.96 | -64.29 | 134.60 |
nontaxdv非税收入 | 690 | 26.17 | 43.38 | -145.32 | 318.33 |
otherredv其它收入 | 690 | 15.46 | 50.68 | -43.63 | 629.55 |
支出:1994-2006 | |||||
publicdv行政管理 | 390 | -2.22 | 3.38 | -21.51 | 18.10 |
infradv基本建设 | 390 | -17.52 | 11.96 | -60.58 | 37.59 |
edudv教育 | 268 | -2.70 | 3.02 | -15.38 | 12.73 |
tecdv科技 | 390 | -10.93 | 9.80 | -55.50 | 8.31 |
securitydv社会保障 | 270 | -12.77 | 10.67 | -47.53 | 5.34 |
otherexpdv其它支出 | 268 | -13.51 | 7.41 | -34.73 | 28.73 |
支出:2007-2016 | |||||
generalpubdv一般公共服务 | 300 | -5.60 | 4.05 | -19.69 | -0.06 |
urbandv城乡社区事务 | 300 | -5.99 | 4.53 | -26.29 | -0.01 |
agridv农林水事务 | 300 | -9.45 | 6.49 | -32.20 | -0.03 |
educationdv教育 | 300 | -5.53 | 3.72 | -22.42 | -0.21 |
sciencetecdv科学技术 | 300 | -6.26 | 5.80 | -37.85 | -0.03 |
securityempdv社会保障和就业 | 300 | -6.29 | 6.82 | -43.01 | -0.29 |
otherexpendituredv其它支出 | 300 | -14.17 | 8.50 | -41.26 | 5.03 |
注:非税收入和其它收入偏离的最大值都特别大,这有可能是数据统计的原因,也可能是现实的情况。当然,非税收入和其它收入偏离大于200的观察值很少,分别只有7个和11个。

图7 1994-2017年各省分项收入预算偏离平均值的变化(%)

图8 1994-2006年各省分项支出预算偏离平均值的变化(%)
图7和图8、图9分别是分项收入和分项支出预算偏离的年度变化。收入预算偏离方面,各分项收入预算偏离的变化与总收入的趋势较为相似,其中,企业所得税的偏离在2001年有一个明显的上升,这可能与2002年的所得税分享改革有关,由于2002年的所得税分项改革方案以2001年为基数,这使得地方在当年有激励征收更多的所得税,从而使得当年所得税的决算要大大超过预算;非税收入的偏离在2008年出现了负数,同时其它收入的偏离在2008年大幅上升;受“营改增”的影响,营业税在2016年出现了较大程度的负向偏离。支出预算偏离方面,1994-2006年间,行政管理支出、教育支出和其它支出的偏离度趋于增加,科技支出和社会保障支出的偏离则趋于降低,而基本建设支出的偏离变化较大。2007年政府支出分类改革之后,各分项支出的预算偏离均呈现出下降的趋势,尤其是其它支出和农林水支出预算偏离的降低程度较为明显。

图9 2007-2016年各省分项支出预算偏离平均值的变化(%)
(二)结构分析
利用式(1),可以观察不同收支项目对总体预算偏离的贡献情况。表8给出了1994-2016年各分项收入对总收入偏离的贡献率。
表8分项收入对总收入预算偏离的贡献率(%)
年份 | 增值税 | 营业税 | 企业所得税 | 非税收入 | 其它收入 |
1994 | 11.56 | 15.28 | 5.44 | 13.97 | 53.75 |
1997 | 1.71 | 12.04 | 36.51 | 43.00 | 6.73 |
2000 | 7.51 | 1.83 | 25.07 | 21.02 | 44.57 |
2003 | 10.82 | 20.89 | 7.41 | 30.90 | 29.98 |
2006 | 7.93 | 13.26 | 11.27 | 42.36 | 25.17 |
2009 | -14.00 | 20.77 | -12.17 | 66.72 | 38.68 |
2012 | -20.67 | -3.44 | -5.83 | 103.13 | 26.81 |
2016 | 202.53 | -280.18 | 0.89 | 178.64 | -1.88 |
均值 | 2.94 | 5.89 | 12.81 | 40.58 | 37.78 |
除去2015和2016年,总体来看,非税收入的贡献最大,其次是其它收入,最小的是增值税。也就是说,总收入预算偏离最主要是由非税收入和其它收入导致的,因而,加强对非税收入的管理对降低预算偏离具有重要的作用。
表9进一步给出了各分项收入占预算总收入比重的变化以及该收入自身预算偏离的变化。
表9分项收入对总收入预算偏离贡献的分解(%)
年份 | 增值税 | 营业税 | 企业所得税 | 非税收入 | 其它收入 | |||||
占比 | 偏离 | 占比 | 偏离 | 占比 | 偏离 | 占比 | 偏离 | 占比 | 偏离 | |
1994 | 28.33 | 9.56 | 31.03 | 11.54 | 13.89 | 9.18 | -1.61 | -203.76 | 28.36 | 44.44 |
1997 | 24.60 | 0.35 | 27.00 | 2.22 | 11.35 | 16.00 | 5.45 | 39.23 | 31.60 | 1.06 |
2000 | 18.30 | 2.83 | 26.70 | 0.47 | 14.85 | 11.66 | 11.39 | 12.75 | 28.76 | 10.71 |
2003 | 18.98 | 4.47 | 28.64 | 5.71 | 10.85 | 5.35 | 15.62 | 15.49 | 25.91 | 9.06 |
2006 | 18.20 | 3.32 | 28.20 | 3.59 | 11.98 | 7.18 | 17.67 | 18.29 | 23.96 | 8.01 |
2009 | 15.34 | -4.13 | 27.42 | 3.43 | 13.12 | -4.20 | 17.62 | 17.14 | 26.50 | 6.61 |
2012 | 11.95 | -4.99 | 26.28 | -0.38 | 12.92 | -1.30 | 20.21 | 14.74 | 28.64 | 2.70 |
2016 | 19.36 | 12.75 | 15.22 | -22.45 | 11.76 | 0.09 | 23.96 | 9.09 | 29.70 | -0.08 |
均值 | 17.91 | 1.89 | 26.75 | 2.35 | 12.64 | 7.21 | 14.97 | 13.16 | 27.73 | 11.06 |
从均值来看,增值税和营业税的偏离都较小,而非税收入的偏离最大,达到了13.16%。因而,即使非税收入占总收入的比重并不是最大,但其对总收入偏离的贡献率却最高;较高的偏离和较大的占比使得其它收入对总收入偏离的贡献率也处于较高的水平。
表10和表11则是支出预算偏离的分解情况。
表10分项支出对总支出预算偏离的贡献率(%)
1994-2006 | 行政管理 | 基本建设 | 教育 | 科技 | 社会保障 | 其它 | |
1998 | 1.72 | 14.35 | 1.25 | 1.14 | 3.48 | 78.05 | |
2000 | 1.96 | 18.74 | 2.83 | 0.91 | 10.71 | 64.86 | |
2002 | 2.1 | 22.46 | 2.92 | 0.83 | 6.82 | 64.86 | |
2004 | 1.79 | 16.64 | 3.74 | 0.79 | 6.53 | 70.51 | |
2006 | 2.42 | 12.5 | 5.55 | 0.91 | 4.05 | 74.58 | |
均值 | 2.02 | 17.54 | 3.13 | 0.95 | 6.65 | 69.71 | |
2007-2016 | 一般公共服务 | 城乡社区 | 农林水 | 教育 | 科学技术 | 社保与就业 | 其它 |
2007 | 10.52 | 4.72 | 8.02 | 9.33 | 1.24 | 6.56 | 59.63 |
2010 | 5.85 | 4.79 | 8.99 | 9.26 | 1.07 | 5.21 | 64.84 |
2012 | 5.22 | 5.12 | 10.50 | 7.38 | 1.32 | 5.68 | 64.77 |
2014 | 4.55 | 4.44 | 12.18 | 8.52 | 1.70 | 7.12 | 61.49 |
2016 | 4.77 | 7.03 | 14.36 | 10.01 | 2.22 | 6.16 | 55.44 |
均值 | 6.73 | 5.10 | 10.48 | 9.22 | 1.43 | 6.75 | 60.29 |
表11分项支出对总支出预算偏离贡献的分解(%)
1994-2006 | 行政管理 | 基本建设 | 教育 | 科技 | 社会保障 | 其它 | ||||||||
占比 | 偏离 | 占比 | 偏离 | 占比 | 偏离 | 占比 | 偏离 | 占比 | 偏离 | 占比 | 偏离 | |||
1998 | 8.38 | -2.17 | 10.55 | -14.37 | 14.32 | -0.92 | 0.98 | -12.29 | 1.96 | -18.82 | 63.82 | -12.92 | ||
2000 | 7.43 | -2.97 | 11.96 | -17.64 | 14.13 | -2.26 | 1.13 | -9.02 | 5.92 | -20.37 | 59.44 | -12.28 | ||
2002 | 8.62 | -2.49 | 13.18 | -17.4 | 14.64 | -2.03 | 1.13 | -7.49 | 6.38 | -10.92 | 56.05 | -11.81 | ||
2004 | 8.56 | -2.44 | 10.84 | -17.93 | 13.95 | -3.13 | 1.07 | -8.55 | 6.48 | -11.77 | 59.09 | -13.94 | ||
2006 | 8.63 | -3.35 | 9.79 | -15.25 | 13.67 | -4.85 | 1.16 | -9.36 | 5.95 | -8.13 | 60.81 | -14.66 | ||
均值 | 8.37 | -2.7 | 11.6 | -16.64 | 14.09 | -2.53 | 1.12 | -9.44 | 5.5 | -14.06 | 59.31 | -13.08 | ||
2007-2016 | 一般公共服务 | 城乡社区 | 农林水 | 教育 | 科学技术 | 社保与就业 | 其它 | |||||||
占比 | 偏离 | 占比 | 偏离 | 占比 | 偏离 | 占比 | 偏离 | 占比 | 偏离 | 占比 | 偏离 | 占比 | 偏离 | |
2007 | 15.76 | -8.55 | 8.01 | -7.55 | 8.01 | -12.81 | 16.53 | -7.23 | 2.12 | -7.46 | 12.49 | -6.72 | 37.07 | -20.60 |
2010 | 10.88 | -5.87 | 7.76 | -6.74 | 10.28 | -9.55 | 15.31 | -6.61 | 2.04 | -5.70 | 11.07 | -5.14 | 42.66 | -16.59 |
2012 | 10.25 | -5.57 | 8.13 | -6.89 | 10.64 | -10.80 | 17.61 | -4.59 | 2.02 | -7.16 | 10.62 | -5.85 | 40.73 | -17.40 |
2014 | 9.00 | -4.31 | 9.58 | -3.95 | 10.66 | -9.73 | 16.19 | -4.48 | 2.20 | -6.60 | 11.45 | -5.29 | 40.92 | -12.80 |
2016 | 8.21 | -3.24 | 11.24 | -3.49 | 11.25 | -7.13 | 16.29 | -3.43 | 2.43 | -5.10 | 12.53 | -2.75 | 38.06 | -8.13 |
均值 | 11.00 | -6.01 | 8.78 | -5.76 | 10.15 | -9.84 | 16.26 | -5.58 | 2.13 | -6.34 | 11.62 | -5.86 | 40.06 | -14.97 |
1994-2006年间,其它支出的贡献最大,高达69.71%,其次是基本建设支出,为17.54%,科技支出的贡献最小,为0.95%。时间态势上,其它支出的贡献先下降后上升,社会保障支出和基本建设支出的贡献率正好相反,先上升后下降;行政管理支出和教育支出的贡献率趋于上升。从具体分解结果看,其它支出占总支出的比重最大,而且其自身的偏离度也达到了-13.08%,这使得它对总支出预算偏离的贡献率最高;科技支出的占比很小,平均仅为-1.12%,同时其偏离程度不高,因而科技支出对总支出预算偏离的贡献最小。
2007-2016年间,贡献最大的是其它支出,最小的是科学技术支出,教育支出和农林水支出的贡献也较大。时间趋势上,一般公共服务支出的贡献不断下降,而城乡社区支出和农林水支出的贡献则趋于上升,科学技术、社会保障和就业支出的贡献相对稳定。根据分解结果,其它支出贡献最高的原因在于其占总支出比重最高,并且偏离最大;城乡社区和农林水支出贡献上升的原因在于其占总支出比重的增加。
预算偏离的成因分析
本部分主要探讨预算偏离的成因。具体而言,我们认为,至少有以下几个因素导致了财政预决算的偏离。
(一)预算管理本身的因素
1、预算编制不科学
目前预算编制缺乏科学的预测过程,编制的依据较为简单。从收入预测看,普遍做法是在当年预计GDP增长率的基础上加上几个百分点(孙玉栋、吴哲方,2012)。一旦实际GDP增长率大幅超过预计GDP增长率(这正是我国多年来的实际情况),决算收入自然就会远大于预算收入。
2、预算执行“软约束”
一是“超收”和“少支”资金的自由裁量权。一方面,“超收”收入的使用在2007年以前并不会纳入人大的审批,而且也不会进入下一年的预算,这导致超收资金游离了预算监管,有些地方甚至出现鼓励超收的局面。另一方面,“少支”资金的使用在新《预算法》之前并没有明确规定,预算高于决算的部分,对于地方政府而言有相当程度的自由支配权,并且其中一部分资金成为了财政存量资金,对其使用,“已形成历史惯性和制度惯性,去留皆由各地区和各部门自行决定”,“截至2014年3月底,9个省本级和9个市本级财政存量资金达7673亿元,其中近三成已无法按原用途使用”(审计署,2015)。“超收”收入和“少支”资金的自由裁量权,会使得政府在预算编制会故意低估财政收入,高估财政支出,从而增加收支预决算的偏离程度。
二是支出预算调整频繁。在强调总规模调整的管理理念下,其它调整(譬如收支结构的变化或者说科目流用)往往不受人民代表大会的约束。这使得使地方预算调整次数频繁、随意并且不受监督。而为了能够在不突破总量预算的前提下调整预算,政府部门有动力在预算编制时高估支出。
三是支出进度不足。由于预算年度与人代会会期错配,致使预算执行过程中存在一段真空期,再加上预算资金(尤其是上级专项资金)下达较慢等原因,地方预算普遍存在财政支出进度缓慢的问题,这往往会导致最终的支出不足。
3、预算过程“碎片化”
尽管财政部门是地方预算的职能部门,但在实践中,其往往处于被动的地位,这主要是由于“零碎化”的预算制度导致的(马骏、侯一麟,2004)。财政部门虽然是名义上的“核心预算机构”,但还存在多个“准预算机构”,这导致“许多资金的分配权都不在财政部门的控制范围内”。因而,在地方部门预算中,预算主管部门和下属单位往往会出现“讨价还价”的局面,财政部门的预算管理和分配权则在一定程度上被“准预算机构”肢解,同时还会受到来自政府领导的压力(苟燕楠、王逸帅,2006)。预算过程的“碎片化”,导致各部门尽量多地争取有利于本部门的预算资金,从而降低了预算的准确性,加剧了预算尤其是支出预算的偏离程度。
(二)财政管理体制因素
1、财政收支不匹配
1994年的分税制改革重点是重新划分中央和地方的收入责任,在财权上收和事权下放的背景下,地方政府尤其是基层政府面临着巨大的财政压力。一方面,地方政府会采取各种手段来汲取财政收入以满足支出的需要,而这会增加决算收入进而拉大决算对预算的偏离;另一方面,地方政府过多的事权和支出责任给政府机构追求自由裁量预算的最大化提供了便利的外部条件,而支出预算大于决算的部分就是一种自由裁量的预算,这进一步扩大了支出预算与决算的偏离。
2、转移支付规模过大、结构不合理
地方政府大量财力来源于上级的转移支付,而转移支付相当于一个公共池——下级政府得到了一定的收入却不需要付出相应的成本,因而,地方政府会倾向于争取更多的转移支付尤其是专项转移支付,并形成“重争取、轻使用”的弊端以及“狮子大开口”的机会主义行为,加上转移支付资金拨付进度缓慢,最终导致了转移支付的决算支出不足,并出现决算少于预算的情形。
(三)外部的监督和约束因素
一是人大监督不够健全。一般而言,人大对预算的监督过程包括提前介入、初步审查、人代会审批预算、预算执行和决算审查五个阶段(林慕华、马骏,2012),然而目前,人大对政府预算的监督作用还很有限,尤其是在预算执行阶段,许多预算调整并不经过人大审批,一部分财政结余资金也游离于人大的监督之外,而“强行政”的预算体制使得人大的监督地位在某种程度上被架空,缺乏专业的人员和有利的信息则进一步限制了人大监督约束作用的发挥。
二是预算审计不够完善,这主要表现在审计机关缺乏独立性欠缺、审计的覆盖范围不够全面。据统计,自2011-2015年,均被国家审计部门连续审计的部委仅仅15个,而且大多数部门被审计的时间跨度较大(巩玉坤,2017);并且现行审计一般未包括税式支出预算以及准财政活动报告,而只对现行预算体系中的财政收支进行审计(王秀芝,2015)。
三是预算管理不够透明。阳光透明的预算管理活动能够有效降低政府的机会主义行为,从而降低预决算的偏离程度。目前,中国的预算透明度仍亟待提高,根据上海财政大学发布的《2017中国财政透明度报告》,31个省(自治区、直辖市)的平均得分仅为48.26。预算透明较低,使得政府部门在预算过程中拥有很大程度的垄断信息,从而加剧了政府收支的预算偏离程度。

(四)其它因素
这主要包括一些偶然性和突发的性的因素。值得一提的是政策的调整,在年初的时候,地方政府并不能准确预测中央各部门在年中将会出台什么样的政策;同时,在地方层面财政部门也无法准确预计政府部门可能出台的一些新政策(王秀芝,2009),这导致政策与预算分离,给地方政府及其财政部门的预算编制带来了较大的不确定性,而为了应对这些可能支出需求,地方政府会在一开始便留有一定余地甚至虚设支出科目(马蔡琛,2014),从而加大支出预算的偏离程度。
全文参见:陈志刚、吕冰洋:《中国政府预算偏离:一个典型的财政现象》,《财政研究》2019年第1期。